SMRIDHI FINE CHEMICAL LLP is a leading Manufacturers and suppliers of premium quality fine chemicals and food additives. With years of expertise in the chemical industry, we are committed to providing our clients with the highest quality products at competitive prices.
Our extensive product range includes Modified Starch, Xanthan Gum, Potassium Sorbate, Sodium Benzoate, and various other chemical solutions that cater to diverse industrial applications.
We pride ourselves on our reliable supply chain, technical expertise, and customer-centric approach. Our team of professionals ensures timely delivery and maintains the highest standards of quality control.
Premium Quality Chemical Solutions
Industrial-grade chemical for various manufacturing processes
High-purity caustic soda for industrial applications
Food-grade citric acid for flavoring and preservation
Industrial-grade phosphoric acid for various applications
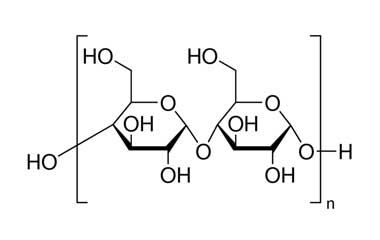
High-quality modified starch for food, pharmaceutical, and industrial applications
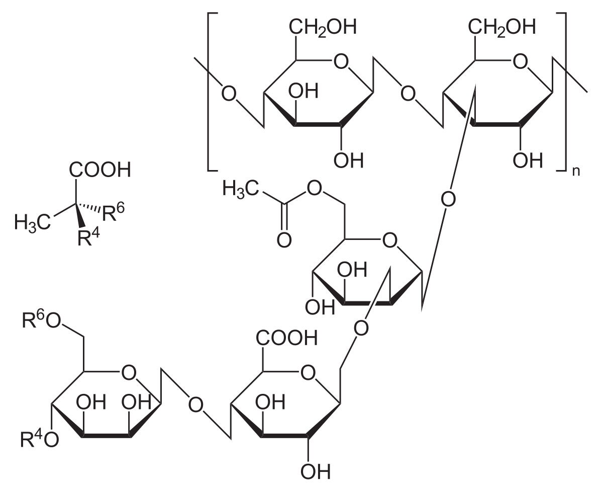
Premium food-grade xanthan gum for thickening and stabilization
Effective food preservative for extended shelf life
Widely used preservative for beverages and food products
All products meet international quality standards and certifications
Best market rates without compromising on product quality
Efficient logistics ensuring on-time delivery across India
Technical assistance and customer support available
Comprehensive product portfolio for various industries
Long-standing relationships with satisfied clients
SMRIDHI FINE CHEMICAL LLP is a leading supplier of premium quality fine chemicals and food additives. With years of expertise in the chemical industry.
Minimum order quantities vary by product. Please contact us for specific requirements and we will accommodate your needs.
Yes, we provide samples for quality evaluation. Contact our team to request samples for your specific requirements.
Delivery timelines depend on the location and order quantity. Typically, we deliver within 5-7 business days across major cities.
Yes, all our products meet international quality standards and come with proper certifications and documentation.
Currently, we primarily serve the Indian market. For international inquiries, please contact us directly.
Get in touch with us for any inquiries
Gala No. 301, Aarkay Platinum Ind. Estate, Vasai, Dist. Palghar